
I. 모낭주사란?
일반적인 주사 치료는 혈관이나 근육에 약물을 투입해서 전신 순환을 통해 병을 치료합니다. 다른 형태의 주사 치료법으로 메조테라피(mesotherapy)라는 방식은, 질환 발병한 장소의 가장 근접한 부위의 피내 조직 또는 피하조직의 상부에 약리효과를 낼 수 있는 한 가지 이상의 약물을 최소량으로 주사하여 치료효과를 거두는 시술방법입니다. 혈류 등을 통하지 않고 직접 접근하기 때문에 혈관이나 근육에 주사하는 것보다 훨씬 저농도의 약물로도 효과를 기대할 수 있습니다. 두피에 직접 탈모 치료 성분을 주사하거나 도포하여 치료효과를 내는 메조테라피 방식을 모낭주사(IFI; intrafollicular injection), 모낭내주사, 탈모 주사 등의 이름으로 부릅니다. 탈모 부위에도 각종 약물을 주사하여 기계적인 효과(주삿바늘로 두피를 자극함으로써 미세 상처 치유 과정에서 성장인자가 나오고 국소 미세순환이 활발해지면서 자연치유력을 증강시킴)와 화학적인 효과(모발 성장에 필요한 영양소 공급)를 기대하는 원리입니다. 모낭주사가 투입되는 표피, 진피는 혈행이 활발한 곳이 아니라 주사된 약이 오랫동안 모낭 주위에 머물며 작용할 수 있습니다.


II. 적응증
남성형 유전성 탈모의 치료에서는 피나스테리드(프로페시아), 두타스테리드(아보다트)가 기본 치료가 되는데, 유전성 남성탈모를 유발하는 DHT라는 물질의 생성을 막는 기전으로 효과를 보이는 반면 모낭주사 치료는 모발의 성장기 촉진을 유도하는 기전이 주가 됩니다. 즉, 약물치료가 마이너스(-)를 억제하는 기전이라면 주사치료는 플러스(+)를 유도하는 치료라고 생각하면 됩니다. 사람마다 마이너스 요소가 강한지 플러스 요소가 약한지 모두 다르기 때문에 어떤 치료가 더 효과적으로 작용할지는 정확히 이야기하기 어렵지만, 두 가지 치료법은 각각의 장점이 있고 병행했을 때 시너지를 노리는 것이 더 좋습니다. 더러는 모낭주사으로도 충분한 효과를 보는 분도 있지만, 특별한 이유가 없으시다면 약물치료를 병행하시는 것이 효과를 극대화할 수 있습니다.
확산성 탈모, 여성형 탈모, 스트레스성 탈모 등에서는 치료약의 종류가 남성에서보다 한정되기 때문에 모낭주사 치료의 필요성이 좀 더 높아집니다. 바르는 약 미녹시딜과 모발 영양제인 맥주효모 정도가 여성 탈모에서 쓸 수 있는 약들인데 이 약만으로 큰 치료효과를 기대하기는 어렵기 때문입니다. (아래 사례 사진에 여성 탈모 사례를 보실 수 있습니다.)

III. 치료주기
탈모증상이 심할 경우는 일주일에 한 번, 안정이 된 후는 2-3주에 한번 정도 치료를 받습니다. 유지요법으로는 한 달에 한번 정도 간격으로 치료를 합니다. 짧게는 3개월, 길게는 6개월 정도는 치료를 받으시는 것이 효과를 느끼실 수 있습니다. 병원 치료를 계속할 수는 없기 때문에 어느 정도 탈모가 안정화되면 중단하거나, 치료의 간격을 늘려서 관리합니다. 증상이 다시 생기면 치료를 시작하거나, 치료 간격을 좁히면 됩니다. 피부질환 관리와 비슷한 개념이라고 할 수 있습니다.

IV. 엑스톡스 모낭주사
이런 치료들에 엑소좀, 보톡스, 성장인자 등의 추가 성분들을 더 강화한 치료를 기존의 치료와 구분하기 위해서 엑스톡스(X-TOX); (eXosme + botolinum TOXin) 치료라고 부르고 있습니다.
위 사진이 처음에 FLEEX를 임상에 도입할 때 효과 여부를 실험한 첫 사례인데, 3회 치료만으로 머리카락의 숫자가 두께가 증가한 소견을 보여주었습니다.

위 사진은 오랜 기간 탈모약(피나스테리드)을 드셔 오신 분인데, 그럼에도 불구하고 탈모가 진행되는 것을 느껴 추가적으로 엑스톡스 시술을 시행하였습니다. 가르마와 가마 부분을 보시면 차이가 느껴지실 것입니다.
엑스톡스 성분의 주성분은 줄기세포와 엑소좀, 보톡스입니다. 줄기세포(Mesenchymal stem cells, MSCs)가 여러 질병의 치료에 이용될 잠재력이 풍부하다는 것은 잘 알려져 있습니다. 줄기세포의 치료 효과는 주로 엑소좀에 의한 주변 분비 효과(paracrine effect)에 의해 발생합니다. 엑소좀은 나노미터 사이즈(50~130nm)의 아주 작은 소포체로, 사이토카인, 성장인자, mRNA, miRNA 등의 물질을 포함하고 있으며 세포 간의 신호 전달에 관여합니다. 엑소좀이 포함된 줄기세포 배양액(ADCS-CM)을 치료에 사용하면 줄기세포를 직접 투여하는 것과 비교해 항원성도 낮고 부작용이 적다는 장점이 있습니다.
줄기세포 배양액은 모유두세포(DPC; dermal papilla cell)의 자극하고, HGF, VEGF, PDGF 등 모발 성장을 시키는 인자들을 활성화시킵니다.
* 간세포 성장인자(Hepatocyte Growth Factor, HGF): 모낭세포의 퇴화를 막고 각질 형성 세포의 자기 사멸을 차단해서 모발의 성장기를 길게 함.
* 혈관내피세포 성장인자(Vascular Endothelial Growth Factor, VEGF): 혈관 신생을 통해 모낭의 크기를 크게 만듦.
* 혈소판 유래 성장인자(Platetlet Derived Growth Factor, PDGF): Wnt 경로 등을 통해 모발 성장기를 유지시킴.
일본에서 엑소좀을 이용한 탈모치료 연구가 활발한데, 그 논문 결과 하나를 소개하겠습니다.

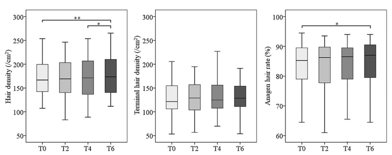
탈모 증상을 보이는 일본인 40명(남자 21명, 여자 19명)을 대상으로 주 1회, 총 6주간 ADCS-CMD을 두피에 주사했더니 다음과 같은 효과를 얻었습니다.

치료 시작 시점부터 2주마다 모발 밀도, 경모 밀도, 생장기 모발 비율을 비교했습니다. 치료 기간이 누적되면서 효과가 계속해서 증가하는 모습을 확인할 수 있습니다. 남 녀 모두에서 비슷한 양상을 보였고 피나스테리드를 복용 중이든 아니든 마찬가지였습니다.
특히 좋은 효과를 보인 33세 남성의 경우 치료 기간을 1년까지 연장했는데, 치료 시작 시점에서 Norwood 분류 6단계에 해당하던 상태가 크게 호전되어 헤어라인과 두정부 모두 상당한 모발이 자라난 것을 확인할 수 있습니다.
ADCS-CM은 모발뿐만 아니라 상처 회복에 도움을 주고 강한 항산화 작용을 하는데, 이런 효과 덕분에 참여자들의 두피 조직의 두께가 개선되고 수분 함량도 개선되는 등 다양한 효과도 얻을 수 있었습니다.
탈모약을 복용하고 있지만 효과가 아쉬웠던 분들이나 더 좋은 효과를 얻고 싶은 분들께 좋은 치료법이 될 수 있겠습니다.
V. 모낭주사 성분
1단계: 보톡스(botulinum toxin), 리도카인(lidocaine),태반추출물(placenta extracts), 프로카인(procaine), 비오틴(biotin), 덱스판테놀(dexpanthenol), 히알루론산(hialuronic acid), 폴리비타민(polyvitamine) 등


2단계: 사이토카인과 성장인자(cytokines & growth factors), 엑소좀(exosome), 구리복합체(copper peptide), 지방세포유래줄기세포(ADSC-CM; adipose derived stem cell) 등.
VI. 모낭주사의 효과


이 모낭주사가 정말 탈모치료에 효과가 있는지에 대해서 궁금해하시는 분들이 많아요. 치료효과를 보지 못하는 분은 극히 드뭅니다. 효과가 낮다고 하는 경우에도 치료를 하지 않은 것보다는 낫기 때문에 중지를 권하는 경우는 거의 없습니다. 치료를 중단하면 효과를 본 부분이 시간이 지나면서 서서히 사라지게 됩니다.
다른 치료법 없이 엑스톡스 단독 치료만으로도 단기간에 효과를 보는 분들이 꽤 있습니다.


위 사진은 제 지인인데, 2회 엑스톡스 치료 전후 사진입니다. 멀리서 찍은 사진은 큰 변화를 못 느끼실 수도 있겠지만, 접근해서 찍은 사진을 클릭해서 확대해서 보시면 가르마 쪽 머리카락의 굵기 및 밀도 변화가 어떻게 되었는지 보실 수 있을 것입니다.
VII. 애교잔머리 시술

탈모치료 용도 뿐아니라 여성에서 잔머리 카락이 나는 효과도 기대해볼 수 있습니다. 잔머리가 별로 없거나, 나이가 들면서 잔머리가 줄어든 헤어라인 부근에 시술을 하면 잔털이 증가합니다. 위 사진은 저희 직원에서 시술한 결과 사진입니다. 전부터 '애교 잔머리' '김연아 잔머리' 시술을 원하시는 분들이 많았는데, 이렇게 미용적 목적으로도 쓸 수 있습니다.
VI. 부작용

두피섬유화란 조직이 가진 원래의 피부조직이 아니라 흉터 조직처럼 피부의 타입이 바뀌는 것을 의미하며, 결국 두피 내에서 모낭이 없어지기 때문에 모발이 올라오지 못할 수 있게 됩니다. 다만 섬유화 되는 두피의 치밀도나 두께 등에 따라서 모발이 다시 올라와줄 수도 있고 아닐 수도 있습니다. 화상이나 깊은 상처 등이 생겼을 경우 두피 조직이 섬유화 되어 피부의 타입이 변형될 수 있습니다. 모낭주사 시술을 어떻게 하느냐에 따라 다르겠지만, 보통 아주 가는 바늘을 이용해 주입하고, 주입 깊이도 4~5 mm 내외로 얕기 때문에 이 시술로 두피 섬유화가 될 정도의 흉터를 만들기는 어렵습니다.
혹시 날카로운 바늘이 모낭을 손상시키지는 않을까 우려하시는 분들도 있습니다. 실제로 그럴 가능성이 0%인 것은 아닙니다. 하지만 직접 시술을 하는 의사로서는 거의 걱정하지 않는 부작용이기도 합니다. 시술자가 일부러 모낭을 손상시키려고 작정한 것이 아니라면 이런 일이 발생하기 매우 어렵습니다.
우선 주사바늘이 들어가는 깊이가 다릅니다. 모낭세포는 피부 표면에서 5~7mm 아래의 피하지방층 깊은 곳까지 뻗어있습니다. 만일 주사를 비슷하거나 더 깊이 찌르며 모낭세포를 훼손한다면 머리카락이 빠질 수 있습니다. 하지만 모낭주사를 할 때는 대체로 1~3mm 사이의 얕은 깊이에 주사를 합니다. 너무 깊이 주사를 하면 약물이 너무 빨리 퍼져 두피에 집중적인 효과를 주기 어렵기 때문입니다.
또한 모낭 사이에는 바늘이 들어갈 충분한 공간이 있습니다. 모낭세포는 헤어라인을 제외하고는 대부분 2~3개의 모낭이 한 단위를 구성하기 때문에 그 사이마다 공간이 생길 수밖에 없습니다. 따라서 시술자가 조금만 주의하면 모발 사이의 빈 공간에 바늘을 넣을 수 있고 작은 바늘을 사용한다면 모낭을 건드릴 확률은 더욱 낮아집니다. 다른 예로 모발이식 때 사용하는 식모기는 주사치료 용도보다 훨씬 큰 구경의 바늘을 사용하지만 그럼에도 불구하고 주변 모낭의 훼손이 잘 일어나지 않습니다.
VII. M자 탈모에도 효과가 있을까?
엑스톡스와 같은 모낭 주사는 앞머리, M자 보다는 정수리, 머릿속 탈모에 더 효과가 있는 것은 맞습니다. 하지만 앞머리, M자 부분이라고 해서 전혀 효과가 없는 것은 아닙니다. 정수리 부분보다는 체감 효과가 떨어질 수 있으나 잔머리가 나는 등 효과를 보입니다. 전두부 부분일수록 DHT활성이 높아 탈모가 진행되려는 성질이 강하기 때문에 체감 효과가 떨어질 수도 있다고 보입니다. 이 부분은 기존의 먹거나 바르는 피나스테리드, 두타스테리드, 미녹시딜도 마찬가지입니다.



VIII. 총평 및 사례
기존 치료보다 한단계 더 발전한 모낭주사 엑스톡스 치료로 더 많은 분들이 만족하고 계셔서 기쁘게 생각합니다. 기존의 치료로 효과를 보는 분들도 많았지만, 기존 치료가 좀 아쉬웠거나 효과가 적다고 느낀 분들에게는 앞으로 좀 더 좋은 결과를 많이 보여드릴 수 있을 것입니다.
최근의 치료 사례들을 아래 사진으로 보여드리겠습니다.





























































-뉴헤어 대머리블로그-

'탈모정보' 카테고리의 다른 글
| 피나스테리드와 두타스테리드의 5알파화원효소 차단효과 비교 (0) | 2020.03.20 |
|---|---|
| 제가 탈모인지 그리고 탈모가 어떻게 진행될지 알 수 있을까요? (0) | 2020.03.18 |
| 미리 미녹시딜 효과를 예측하는 방법: 황산전달효소 수치 측정 (2) | 2020.03.11 |
| 먹는 대신 바르는 프로페시아(피나스테리드)의 효과는? (8) | 2020.03.09 |
| 아보다트 90일 (3개월 분) 패키지 출시 (0) | 2020.03.05 |